硅灰石在粉末涂料中的應用測試

硅灰石為鏈狀的偏硅酸鹽礦物,屬三斜晶系,其集合體呈纖維狀和針狀硅灰石。具有良好的絕緣性、介電性能和較高的耐熱、耐候性能以及低的吸濕性,較高的白度等優良特性,廣泛應用于陶瓷、化工、造紙、塑料、橡膠、涂料等領域。全國的硅灰石資源約 2億t,分布比較集中,主要分布在吉林、江西、云南、青海和湖北等地。其中江西省硅灰石資源保 有儲量1400.3萬t,新探明儲量3 500 多萬t,資源十分豐富,蘊藏的礦物中硅灰石含量高、晶體纖維長、鐵質含量低、白度高。
目前硅灰石在涂料領域中主要是應用于建筑涂料中,因此對于在建筑涂料領域的研究也比較多。胡中源、王德華等在內墻乳膠漆中添加5%~8%左右的硅灰石,可提高耐洗刷100次左右;莊勤川、霍穎儀等通過研究發現,硅灰石在乳膠漆中可替代20%~30%的鈦白粉,且不影響漆膜的干膜和濕膜遮蓋力,同時硅灰石能在不改變PVC的情況下,替代部分PH調節劑而完全不影響乳膠漆的PH值。但是,對于硅灰石在粉末涂料中的研究則少有文獻報告。本文主要探討了在環氧/聚酯粉末涂料中硅灰石對于漆膜的光澤度、硬度、附著力及耐熱溫度的影響。
實驗工藝
高混機5min——擠出機溫度110℃擠出——中藥粉碎機粉碎——過篩(100目)——成品——靜電噴涂——170℃烘烤20min。
結果與分析
GY-1250硅灰石與粉末涂料常用的沉淀硫酸鋇相比,粒徑相差比較大,但是吸油量卻明顯高于沉淀硫酸鋇,主要原因可能是因為兩者密度相差較大,沉淀硫酸鋇的密度在4.3左右,而硅灰石密度為2.7;且硅灰石的白度相對偏低,若添加量過高,可能會影響最終漆膜的白度。
填料對漆膜性能的影響
從生產過程來看,由于硅灰石的密度為2.7,硫酸鋇的密度一般在4.3左右,所以硫酸鋇的下料速度會優于硅灰石,且從加工性能上來看,硫酸鋇的流動性會更好一些。按表1所示配方,硅灰石的替代梯度為10%,分別從0%到100%對配方中的沉淀硫酸鋇進行替代,進行實驗,最終制得的聚酯粉末涂料的漆膜各項性能指標見表3。
由表3所示實驗數據可以看出,隨著硅灰石替代硫酸鋇比例的增加,漆膜的光澤呈現明顯的下降趨勢,當填料為100%沉淀硫酸鋇時,漆膜的光澤為79.2°,當填料為100%硅灰石時,漆膜的光澤僅為56.5°,說明硅灰石與硫酸鋇相比屬于一種消光的填料,這可能是硅灰石與硫酸鋇相比,吸油量較高的原因造成的。因此,在一些光澤度要求較高的粉末涂料中,硅灰石的添加量不宜過高。
從硬度指標上來看,隨著硅灰石的添加量的增加,硅灰石對于粉末涂料的硬度提升比較明顯。當硅灰石替代20%沉淀硫酸鋇時(添加量8%),漆膜的硬度由最初的H提高到2H,當替代量達到90%(添加量為18%)時,漆膜的硬度達到3H。
就附著力而言,硅灰石與沉淀硫酸鋇相比,兩者對于附著力的貢獻基本一致。20%的沉淀硫酸鋇和20%的硅灰石相比,附著力都為0級。
沖擊性能上看,隨著硅灰石添加的增加,在1:1之前,抗沖擊性能反沖50cm都能通過,超過這一比例后,隨著硅灰石替代量的增加,沖擊性能逐漸下降,說明硅灰石較硫酸鋇而言是一種偏剛性的材料。
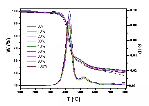
圖1 不同硅灰石添加量粉末涂料的熱失重曲線
注:T5為失重5%的溫度,Tm為最大失重溫度。
圖2 不同硅灰石添加量粉末涂料T5和Tm對比
由上圖可以看出,在環氧粉末涂料中添加一定比例的硅灰石可有效提高粉末涂料的T5和Tm,純硫酸鋇時,環氧粉末涂料的T5為380℃,Tm為418.6℃,隨著硅灰石添加量的提高,T5和Tm基本呈現上升的趨勢,當硅灰石和沉淀硫酸鋇比例為5:5時,T5達到峰值,為393℃,與純硫酸鋇相比提升了13℃,此時Tm為424.6℃,較純硫酸鋇相比提升了6℃;再往后隨著硅灰石比例的提升,T5呈現下降的趨勢,而Tm則呈現小幅度上升。硅灰石的分解溫度1540℃,硫酸鋇的分解溫度為1580℃,兩者相差不大,造成上述實驗現象可能是由于硅灰石是典型的針狀結構,硫酸鋇是顆粒狀結構,在填料的堆積過程中針狀結構更容易形成相互交叉的立體結構,正好和環氧樹脂在交聯固化過程中形成的三位立體結構網狀結構相呼應,同時硫酸鋇的顆粒填充在網狀結構的空隙之間,形成更加致密的涂層。因此,當硅灰石部分替代硫酸鋇后,隨著替代量的增加,漆膜的致密性逐漸提升,當硅灰石和硫酸鋇的比例為1:1時,漆膜的致密性最好,因此耐熱性能最好,隨著硅灰石替代量的進一步增大,沒有足夠的顆粒狀硫酸鋇填充在硅灰石的三維網狀結構中,因此漆膜的孔隙率變大,致密性變差,熱穩定性出現西江的趨勢。所以,從熱穩定性上來看,硅灰石的添加量在10%(即硅灰石:沉淀硫酸鋇=1:1)時,綜合性能最好。
結語
綜合以上實驗結果可以得出,硅灰石作為一種功能性的填料,應用于環氧聚酯粉末涂料中時,可以明顯提高粉末涂料的漆膜硬度和耐熱溫度。當硅灰石的添加量在8%左右時,漆膜的硬度在2H,當添加量達到18%時,漆膜硬度達到3H;
失重5%的溫度最高可以提升13℃,最大失重溫度提高9.1℃。但是,由于硅灰石吸油量較高,密度較小,因此加工性能略差于沉淀硫酸鋇,對漆膜的光澤影響也比較大,不適宜應用于高光粉末產品中。
- 上一篇 硅灰石礦纖取代改性淀粉用于瓦楞紙施膠
- 下一篇 高光澤聚丙烯增剛母粒技術與應用